orovajewels.com
HOME
About
Contact
Disclaimer
Privacy
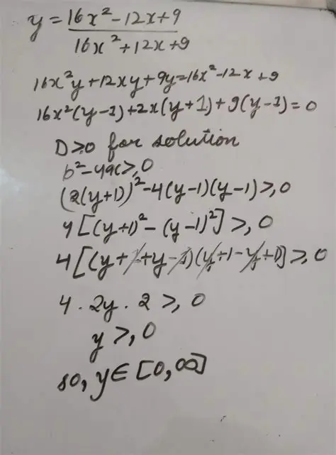
Adding 17 to the Expression
Oct 13, 2025
by orovajewels.com
62
views