orovajewels.com
HOME
About
Contact
Disclaimer
Privacy
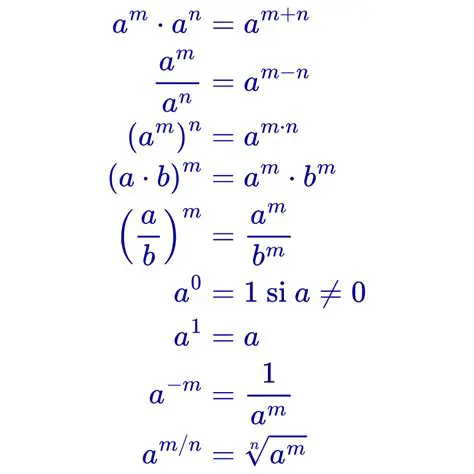
Aplicando la regla de los exponentes
Oct 13, 2025
by orovajewels.com
141
views