orovajewels.com
HOME
About
Contact
Disclaimer
Privacy
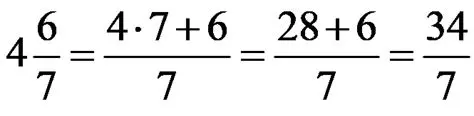
Applying the Conversion Formula
Oct 13, 2025
by orovajewels.com
61
views