orovajewels.com
HOME
About
Contact
Disclaimer
Privacy
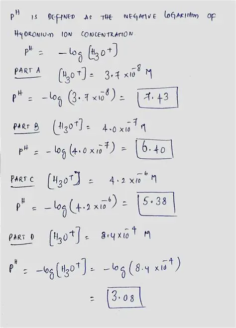
Calculating pH from Hydronium Concentration
Oct 13, 2025
by orovajewels.com
70
views