orovajewels.com
HOME
About
Contact
Disclaimer
Privacy
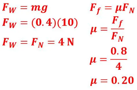
Calculating the Coefficient of Kinetic Friction
Oct 13, 2025
by orovajewels.com
29
views