orovajewels.com
HOME
About
Contact
Disclaimer
Privacy
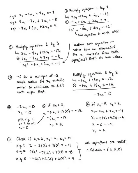
Check for identical equations
Oct 13, 2025
by orovajewels.com
28
views