orovajewels.com
HOME
About
Contact
Disclaimer
Privacy
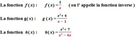
Exemples de Fonctions Rationnelles
Oct 13, 2025
by orovajewels.com
10
views