orovajewels.com
HOME
About
Contact
Disclaimer
Privacy
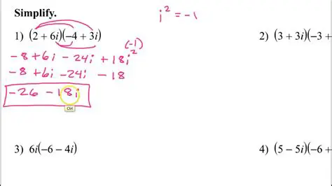
Multiplying Imaginary Numbers
Oct 13, 2025
by orovajewels.com
101
views