orovajewels.com
HOME
About
Contact
Disclaimer
Privacy
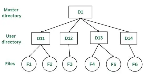
Preservation of Directory Structure
Oct 13, 2025
by orovajewels.com
139
views