orovajewels.com
HOME
About
Contact
Disclaimer
Privacy
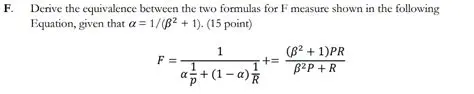
Show the equivalence between the two formulations
Oct 13, 2025
by orovajewels.com
71
views