orovajewels.com
HOME
About
Contact
Disclaimer
Privacy
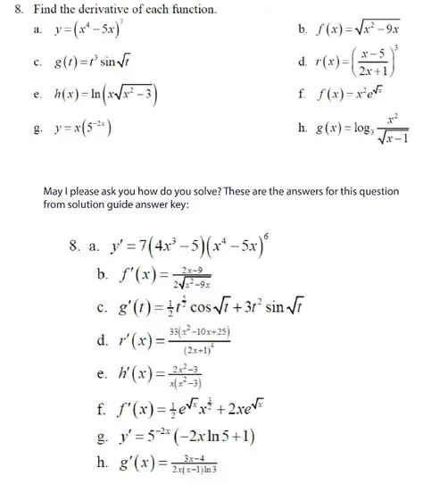
The Derivative of the Function
Oct 13, 2025
by orovajewels.com
88
views