orovajewels.com
HOME
About
Contact
Disclaimer
Privacy
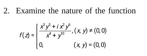
The Nature of the Function
Oct 13, 2025
by orovajewels.com
80
views