orovajewels.com
HOME
About
Contact
Disclaimer
Privacy
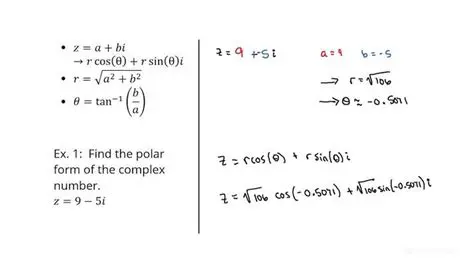
The Polar Form of a Complex Number
Oct 13, 2025
by orovajewels.com
90
views