orovajewels.com
HOME
About
Contact
Disclaimer
Privacy
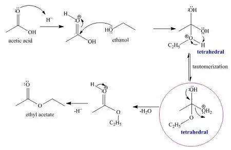
The Reaction of Ethanol and Acetic Acid
Oct 13, 2025
by orovajewels.com
23
views