orovajewels.com
HOME
About
Contact
Disclaimer
Privacy
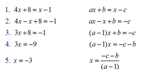
Types of Mathematical Equations
Oct 13, 2025
by orovajewels.com
26
views