orovajewels.com
HOME
About
Contact
Disclaimer
Privacy
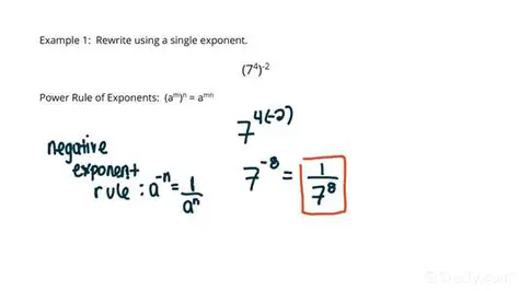
Using the Power of a Power Rule
Oct 13, 2025
by orovajewels.com
100
views